| Tópico | Aula | Título |
|---|---|---|
| CINEMÁTICA | Exercicios 1-1 | Grandezas físicas, unidades de medida e SI |
| CINEMÁTICA | Exercicios 1-2 | Vetores |
| CINEMÁTICA | Exercicios 1-3 | Introdução à cinemática |
| CINEMÁTICA | Exercicios 1-4 | Movimento retilíneo uniforme (MRU) |
| CINEMÁTICA | Exercicios 1-5 |
|
| CINEMÁTICA | Exercicios 1-6 |
|
| CINEMÁTICA | Exercicios 1-7 |
|
| CINEMÁTICA | Exercicios 1-8 |
|
| CINEMÁTICA | Exercicios 1-9 |
|
| CINEMÁTICA | Exercicios 1-10 |
|
| DINÂMICA | Exercicios 2-11 | Introdução à dinâmica e primeira lei de Newton |
| DINÂMICA | Exercicios 2-12 | A segunda e a terceira leis de Newton |
| DINÂMICA | Exercicios 2-13 | Força elástica, lei de Hooke e associação de molas |
| DINÂMICA | Exercicios 2-14 | Polias e máquinas de Atwood |
| DINÂMICA | Exercicios 2-15 | Plano inclinado sem atrito |
| DINÂMICA | Exercicios 2-16 |
|
| DINÂMICA | Exercicios 2-17 |
|
| DINÂMICA | Exercicios 2-18 |
|
| DINÂMICA | Exercicios 2-19 |
|
| DINÂMICA | Exercicios 2-20 |
|
| DINÂMICA | Exercicios 2-21 |
|
| DINÂMICA | Exercicios 2-22 |
|
| DINÂMICA | Exercicios 2-23 |
|
| DINÂMICA | Exercicios 2-24 |
|
| DINÂMICA | Exercicios 2-25 |
|
| GRAVITAÇÃO | Exercicios 3-26 | Introdução à astronomia |
| GRAVITAÇÃO | Exercicios 3-27 | Leis de Kepler |
| GRAVITAÇÃO | Exercicios 3-28 |
|
| GRAVITAÇÃO | Exercicios 3-29 |
|
| ESTÁTICA | Exercicios 4-30 | Introdução à estática |
| ESTÁTICA | Exercicios 4-31 | Centro de massa e centro de gravidade |
| ESTÁTICA | Exercicios 4-32 |
|
| MECÂNICA DOS FLUIDOS | Exercicios 5-33 | Introdução à mecânica dos fluidos |
| MECÂNICA DOS FLUIDOS | Exercicios 5-34 | Teorema de Stevin |
| MECÂNICA DOS FLUIDOS | Exercicios 5-35 |
|
| MECÂNICA DOS FLUIDOS | Exercicios 5-36 |
|
| MECÂNICA DOS FLUIDOS | Exercicios 5-37 |
|
| TERMOLOGIA | Exercicios 6-38 | Introdução à termologia e escalas termométricas |
| TERMOLOGIA | Exercicios 6-39 | Dilatação térmica dos sólidos |
| TERMOLOGIA | Exercicios 6-40 | Dilatação térmica dos líquidos |
| TERMOLOGIA | Exercicios 6-41 | Calor sensível e calor latente |
| TERMOLOGIA | Exercicios 6-42 | Troca de calor entre substâncias |
| TERMOLOGIA | Exercicios 6-43 |
|
| TERMOLOGIA | Exercicios 6-44 |
|
| TERMOLOGIA | Exercicios 6-45 |
|
| TERMOLOGIA | Exercicios 6-46 |
|
| TERMOLOGIA | Exercicios 6-47 |
|
| TERMOLOGIA | Exercicios 6-48 |
|
| TERMOLOGIA | Exercicios 6-49 |
|
| TERMOLOGIA | Exercicios 6-50 |
|
| ÓPTICA | Exercicios 7-51 | Introdução à óptica |
| ÓPTICA | Exercicios 7-52 | Cores: síntese adtiva e síntese subtrativa |
| ÓPTICA | Exercicios 7-53 | Princípios da óptica geométrica |
| ÓPTICA | Exercicios 7-54 |
|
| ÓPTICA | Exercicios 7-55 |
|
| ÓPTICA | Exercicios 7-56 |
|
| ÓPTICA | Exercicios 7-57 |
|
| ÓPTICA | Exercicios 7-58 |
|
| ÓPTICA | Exercicios 7-59 |
|
| ÓPTICA | Exercicios 7-60 |
|
| ÓPTICA | Exercicios 7-61 |
|
| ONDAS | Exercicios 8-62 | Introdução à ondas |
| ONDAS | Exercicios 8-63 | Equação fundamental da ondulatória |
| ONDAS | Exercicios 8-64 | Velocidade e frequência das ondas eletromagnéticas |
| ONDAS | Exercicios 8-65 |
|
| ONDAS | Exercicios 8-66 |
|
| ONDAS | Exercicios 8-67 |
|
| ONDAS | Exercicios 8-68 |
|
| ONDAS | Exercicios 8-69 |
|
| ONDAS | Exercicios 8-70 |
|
| ELETROSTÁTICA | Exercicios 9-71 | Introdução ao eletromagnetismo e a atomística |
| ELETROSTÁTICA | Exercicios 9-72 | Cargas elétricas e processos de eletrização |
| ELETROSTÁTICA | Exercicios 9-73 | Lei de Coulomb |
| ELETROSTÁTICA | Exercicios 9-74 |
|
| ELETROSTÁTICA | Exercicios 9-75 |
|
| ELETROSTÁTICA | Exercicios 9-76 |
|
| ELETRODINÂMICA | Exercicios 10-77 | Introdução à eletrodinâmica |
| ELETRODINÂMICA | Exercicios 10-78 | Primeira lei de Ohm |
| ELETRODINÂMICA | Exercicios 10-79 | Segunda lei de Ohm |
| ELETRODINÂMICA | Exercicios 10-80 |
|
| ELETRODINÂMICA | Exercicios 10-81 |
|
| ELETRODINÂMICA | Exercicios 10-82 |
|
| ELETRODINÂMICA | Exercicios 10-83 |
|
| ELETROMAGNETISMO | Exercicios 11-84 | Magnetismo |
| ELETROMAGNETISMO | Exercicios 11-85 | Força magnética sobre cargas em movimento |
| ELETROMAGNETISMO | Exercicios 11-86 | Campo magnético em fio retilíneo longo e bobinas |
| ELETROMAGNETISMO | Exercicios 11-87 |
|
| ELETROMAGNETISMO | Exercicios 11-88 |
|
| FÍSICA MODERNA — RELATIVIDADE RESTRITA | Exercicios 12-89 | Espaço e tempo absolutos |
| FÍSICA MODERNA — RELATIVIDADE RESTRITA | Exercicios 12-90 | Éter luminífero e a velocidade da luz |
| FÍSICA MODERNA — RELATIVIDADE RESTRITA | Exercicios 12-91 | Experimento de Michelson & Morley |
| FÍSICA MODERNA — RELATIVIDADE RESTRITA | Exercicios 12-92 | Transformadas de Galileu |
| FÍSICA MODERNA — RELATIVIDADE RESTRITA | Exercicios 12-93 | Transformadas de Lorentz |
| FÍSICA MODERNA — RELATIVIDADE RESTRITA | Exercicios 12-94 | Transformadas de Lorentz para velocidades |
| FÍSICA MODERNA — RELATIVIDADE RESTRITA | Exercicios 12-95 | Efeito Doppler relativístico |
| FÍSICA MODERNA — RELATIVIDADE RESTRITA | Exercicios 12-96 | Momento e energia relativísticos |
| FÍSICA MODERNA — RELATIVIDADE RESTRITA | Exercicios 12-97 | Conversão massa-energia |
| FÍSICA MODERNA — QUÂNTICA | Exercicios 13-98 | Radiação de corpo negro |
| FÍSICA MODERNA — QUÂNTICA | Exercicios 13-99 | Efeito fotoelétrico |
| FÍSICA MODERNA — QUÂNTICA | Exercicios 13-100 | Raios X |
| FÍSICA MODERNA — QUÂNTICA | Exercicios 13-101 | Efeito Compton |
| FÍSICA MODERNA — QUÂNTICA | Exercicios 13-102 | Espectroscopia e fórmula de Balmer |
| FÍSICA MODERNA — QUÂNTICA | Exercicios 13-103 | O átomo de Bohr |
| FÍSICA MODERNA — QUÂNTICA | Exercicios 13-104 | Ondas de matéria |
Lista de exercícios 4-32: Torque, alavancas e equilíbrio de corpos extensos

Em condições usuais, qual desses modelos permite a retirada da roda com mais facilidade?
a) 1, em função de o momento da força ser menor.
b) 1, em função da ação de um binário de forças.
c) 2, em função de o braço da força aplicada ser maior.
d) 3, em função de o braço da força aplicada poder variar.
e) 3, em função de o momento da força produzida ser maior.

Nessa situação, qual foi a massa da barra obtida pelos alunos?
|
a) 3,00 km. b) 3,75 km. |
c) 5,00 km. d) 6,00 km. |
e) 15,00 km. |

|
a) 125. b) 600. |
c) 1000. d) 2500. |

A razão das massas M/m é
|
a) 4,0. b) 2,5. |
c) 0,4. d) 1,0. |
e) 0,25. |
|
a) 28. b) 25. |
c) 24. d) 20. |

A massa dessa fruta, em grama, é
|
a) 100. b) 120. |
c) 500. d) 600. |

Para que a árvore permaneça em equilíbrio estático é necessário que tanto a força quanto o torque resultante na árvore sejam nulos. O torque de uma força com relação a um ponto O é dado pelo produto do módulo da força pelo seu braço, que é a distância do ponto O à linha de ação da força.
Assim, qual é o conjunto de forças agindo nas raízes dessa árvore que poderia garantir seu equilíbrio estático?


|
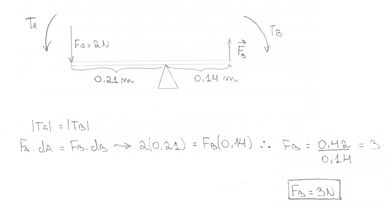
a) 1 N. b) 2 N. |
c) 3 N. d) 6 N. |
e) 8 N. |

a) Qual é o tipo de alavanca usada pela pessoa?
b) Suponha que a pessoa tenha usado um apoio a 40 cm dos pés do piano suspenso. Qual o valor da força aplicada do outro lado da alavanca, a 1,30 m de distância de apoio?
a) E se a distância fosse maior, com 1,60 m, qual seria a força aplicada pela pessoa?

|
a) A. b) B. |
c) C. d) D. |
e) E. |

a) Identifique o tipo de alavanca usado nesse sistema.
b) Supondo que as mãos da pessoa estejam distanciadas 50 cm e a pá tenha 110 cm de comprimento, qual a força que a pessia precisa aplicar na pá para levantar 10 kg de areia?

Em qual dos objetos a força potente é maior que a força resistente?
|
a) Pinça. b) Alicate. |
c) Quebra-nozes. d) Carrinho de mão. |
e) Abridor de garrafa. |